linear algebra, 線形代數學, 선형대수학
벡터공간(선형공간이라고도 한다) 및 그 1차변환에 관한 이론을 연구하는 수학의 한 부문이다.
즉, 벡터공간에 대해서 부분공간, 직합(直合)의 문제, 원소 사이의 1차변화·1차종속·차원·기저(基底) 등을 생각하고, 다시 사상(寫像:함수)을 정의하여 선형사상이나 선형교환 고유값의 문제 등 많은 내용을 고찰한다. 역사적으로는 1850년경의 행렬 및 행렬식론에서 발생하고, 1940년경에 이르러 통일적인 체계가 이루어졌다.
문자 그대로 대수학의 한 부문으로도 생각되나, 벡터를 다루는 데서 기하학이나 역학과도 관계가 있다. 여기서 정의되는 벡터란 널리 선형연산(線形演算)이 가능한 것을 말하며, 미분방정식·적분방정식·함수공간 등 해석학의 여러 부문을 비롯하여 수학의 각 분야에 걸쳐 기초적인 개념이 되었으며 선형대수학은 수학의 각 부문에 걸쳐 기본적인 역할을 하고 있다.
출처 : 네이버 지식백과 / 두산백과 두피디아, 두산백과
linear algebra, 線形代數學, 선형대수학
덧셈과 상수곱 구조를 갖고 있는 벡터공간과 그 위에서 정의되고 벡터공간의 연산 구조를 보존하는 함수인 선형 변환[1]에 관한 대수학.
선형대수학의 벡터는 2차원이나 3차원에 그릴 수 있는 직관적인 벡터뿐만이 아니라, 덧셈/뺄셈과 실수배(혹은 복소수배)가 가능한 추상적인 대상들로 정의된다. 우리가 잘 알고 있는 2차원 공간과 3차원 공간의 핵심 성질을 덧셈과 상수곱이라는 두 연산으로 기술하고, 이를 추려 추상화 및 일반화를 시도하는 것. 예를 들어 n개의 실수의 순서쌍에 성분별로 덧셈과 실수상수곱을 주면[2] 이는 "n차원" 벡터공간이라 할 수 있고, 이를 R(겹쳐진 R 기호)의 n승이라 한다. 벡터공간에서 벡터공간으로 가는 함수 중 덧셈과 상수배를 보존하는 함수를 선형사상이라 하는데, 그 정체는 행렬이다.[3][4]
어떻게 생각하면 선형대수학은 고교 과정인 기하와 벡터(2007 개정 교육과정)의 '행렬'과 '벡터'를 일반화시켜 어렵게 배우는 것"이라고도 볼 수도 있다.[5] 벡터공간의 구조만을 본다면 그다지 복잡하지 않은 것은 사실이다.[6] 하지만 선형사상으로 넘어간다면 그 성질은 놀랍게 풍부해지고, 군론이나 표현론의 영역까지 들어갈 정도로 수준이 높아지면 우주를 비롯한 모든 자연의 신비를 연구하는 수준이 되어버린다. 녹록하지만은 않은 과목이다.
선형대수의 진가 중 하나는 거의 모든 수학과목의 토대가 되는 범용성이다. 미적분학에선 변수가 조금만 많아져도 선형대수학이 튀어나오고, 기하학에선 거의 모든 공간을 국소적으로 선형대수학의 R의 n승이나 C의 n승으로 근사시켜 연구한다. 함수들을 벡터로[7] 생각한다는 사고방식은 미분방정식의 이론과 풀이의 해석으로 발전한다. 물리적 상태들을 고차원 추상적 벡터로 나타내고, 이들의 선형적 중첩을 생각하는 양자역학의 기초가 되는 것은 당연. 선형대수는 수학 기호 중 선형대수에만 특화되어 등장하는 기호들이 많은 것 또한 큰 특징인데, 여태 서술된 것과 같이 선형대수의 범용성이 그야말로 거대하기 때문에 선형대수학을 모르면 어느 시점부터는 아예 각종 수식을 읽는 것 자체가 불가능해진다. 이런 점에서 보면 초등수학에서의 숫자의 위치를 대학수학에서는 선형대수학이 차지하고 있다고 봐도 과언이 아니다.
자연과학 이외 분야에서도 등장하는데, 경제학의 통계에서 복합적 자료들을 다루는 데 필수로 쓰이고, 심지어 이산적인 대상을 다루는 암호학이나 부호이론에도 매우 중요하게 쓰이는 도구이다. 대표적으로 비트연산을 이해할 때 계수가 2진수 Z의 다항식들의 집합으로 보는데. 해당 집합은 이진수체에서의 덧셈과 스칼라배가 잘 정의되는 벡터공간이 된다.
계산 노가다가 어느정도 있는 편이다. 숫자를 뭉텅이로 묶어서 계산하게 되기 때문. 또한 고등학교에서의 기하와 벡터 같은 과목에서 접한 화살표 벡터 표기법과 달리 볼드체로 벡터를 쓰는 데에도 익숙해지지 못하는 학생들이 숱하다. 힐베르트 공간으로 가면 화살표와 볼드체로부터 해방되어 한결 홀가분해지지만, 힐베르트 공간에 대해 심도 있게 다루는 고학년이 되면 추상대수학, 위상수학에서 별별 터무니없는 캘리그라피(...)들을 보며 차라리 볼드체가 편했다는 쓴웃음이 지어지는 점은 큰 아이러니가 아닐 수 없다.
선형대수학은 수학과 전공과목들 중에서 미분방정식과 함께 응용의 범위가 굉장히 넓은 전공과목이다.
역사적으로는 선형대수학은 연립방정식을 연구하는 과정에서 탄생했다.[8] 연립방정식의 계수로 이루어진 특정 식이 해의 존재성에 영향을 끼치는 것[9]을 알아낸 아서 케일리와 윌리엄 로원 해밀턴이 계수만 따로 떼어 격자 형태로 만들었고 여기서 행렬이 탄생하게 됐다.
또한 해밀턴은 사원수라는 것을 만들었는데, 여기서 실수부를 스칼라, 3개의 허수부를 벡터, 관련 연산을 내적과 외적으로 칭했는데 오늘날에는 사원수와는 별개의 영역으로 발달했다.
더 나아가, 해밀턴은 벡터에도 미적분을 적용하기도 했는데 이를 역삼각형으로 나타낸 ∇(del•nabla operator)로 표기했고 오늘날에 이른다.
본격적으로 선형대수학이 발전하기 시작한 것은 컴퓨터의 발달과 궤를 같이 한다. 손으로 푸는 것과는 비교도 안 되는 연산력을 무기로, 이전에는 상상할 수도 없었던 벡터 및 행렬 연산에서 체계가 하나 둘씩 잡혀갔고, 이것이 현재 우리가 배우는 선형대수학 이론의 토대가 되었다.
어느 선형대수 과정에나 기본적으로 들어가는 주제들.
- 행렬: 행공간/영공간/계수, 차원 정리, 추상적 선형함수와의 동치성
- 연립일차방정식의 풀이: 가우스-조르당 소거법, 기약행 사다리꼴 형식(reduced row echelon form)
- 행렬식(determinant), 크라메르 공식, 소행렬식과 수반행렬(adjugate matrix)[36]
- 고유벡터와 고유값, 특성다항식, 케일리-해밀턴 정리[37]
- 내적공간, 직교화 알고리즘, 직교행렬
공학수학 또는 수치해석 과정에 들어갈 수 있는 내용.
- 삼각화, 행렬의 여러 분해방법[38], 분해정리
- 행렬지수[39], 행렬미적분학[40]
- 선형미분방정식, 마르코프 연쇄 등으로의 응용
앞에서 말한 타과에선 빼고 수학과에서만 가르치는 내용들.
- 벡터 공간: 상공간 동형정리[41], 직합
- 작용소의 분석: 불변 부분공간, 분해정리, 유리표준형식과 조르당 표준형 존재성
- 다중선형대수학: 텐서곱, 대칭 대수, 교대 대수, 쌍대 공간, 쌍일차 형식
- 정규행렬의 스펙트럼 정리, 대칭행렬과 직교행렬로의 응용
- 이차형식, 선형군, 직교기하와 심플렉틱 기하 등
- 대수적인 접근을 위한 군/환/체, 모듈(Module)등 대수적 구조 맛보기
역시 더 정확하게 자세한 내용을 알고 싶다면 나무위키 선형대수학 원문으로.
선형대수학 - 나무위키
미적분학과 더불어 기본적으로 익히고 들어가야하는 과목이다. 특히 이론통계학, 수리통계학, 회귀분석 파트는 선형대수학을 베이스로 펼쳐지는 과목이다. 즉, 이 과목 하나를 못한다는 이유로
namu.wiki
linear algebra, 線形代數學, 선형대수학
선형대수학(線型代數學, 영어: linear algebra)은 벡터 공간, 벡터, 선형 변환, 행렬, 연립 선형 방정식 등을 연구하는 대수학의 한 분야이다. 현대 선형대수학은 그중에서도 벡터 공간이 주 연구 대상이다. 추상대수학, 함수해석학에 널리 쓰이고 있다. 선형대수학은 자연과학과 공학에도 널리 활용된다. 선형 연립방정식을 푸는 좋은 방법으로는 소거법과 행렬식이 있다.
기초
선형대수학은 2차원 혹은 3차원의 직교 좌표계에 대한 연구로부터 시작되었다.
선형대수학에서 기본적인 정의는 다음과 같다.
벡터: 벡터 공간의 원소를 벡터라 한다.
벡터 연산: 두 벡터끼리의 합, 혹은 벡터와 스칼라(크기만 있고 방향성은 없는 성분)사이의 곱이 벡터의 기본 연산이다.
벡터 공간: 벡터의 기본 연산을 만족하는 모든 벡터의 모음을 뜻한다.
차원: 흔히 평면을 2차원, 공간을 3차원이라고 부른다. 이때 차원을 구성하는 각각의 요소(3차원의 경우 x,y,z)는 서로 독립적인데 이에 대한 개념을 확장한 것이 바로 선형대수학의 차원이다.
행렬: 여러개의 숫자들을 직사각형의 모양으로 한데 묶어 나타낸 성분. 벡터를 하나의 행 혹은 하나의 열로 구성된 행렬로 볼 수도 있다. 하지만 이것이 행렬의 수학적으로 엄밀한 정의는 아니다.
보통 3차원까지의 벡터는 그림 등으로 시각적 표현이 가능하지만 그 이상의 벡터는 벡터의 각 구성요소를 괄호 안에 나열함으로써 표기한다.
여러 가지 문제를 수학으로 해결하는 데 있어 선형대수학의 개념은 매우 중요한데, 선형화 혹은 선형 근사를 통해, 복잡한 비선형 방정식 문제를 간단한 선형 방정식 문제로 변환해 문제를 해결할 수 있기 때문이다.
선형성
선형대수학의 선형성(영어: linearity)이라는 성질은 직관적으로는 아래와 같은 개념에서 시작되었다.
"선형"이라는 성질은 행렬과 동전의 양면과 같은 관계를 가지고 있다. 어떤 연산이 선형이라면 그것은 행렬로 표현이 가능하며, 어떤 행렬은 반대로 어떤 선형연산으로 해석될 수 있다. 이 선형대수학의 행렬이론은 수학의 이론뿐만 아니라 물리학, 전자공학, 컴퓨터 그래픽, 기계공학 등에 널리 쓰이고 있다.
역시 더 자세한 내용은 원문으로!
선형대수학 - 위키백과, 우리 모두의 백과사전
위키백과, 우리 모두의 백과사전. 선형대수학(線型代數學, 영어: linear algebra)은 벡터 공간, 벡터, 선형 변환, 행렬, 연립 선형 방정식 등을 연구하는 대수학의 한 분야이다. 현대 선형대수학은 그
ko.wikipedia.org
Linear Algebra 선형대수학
1. 개념 및 정의
1) 선형대수학
21세기 과학문명의 발전을 가능케 한 핵심적인 요소는 누가 뭐라고 해도 수학(數學, mathematics)의 발전을 토대로 하고 있다고 할 수 있으며, 주요 선진국의 첨단산업문명의 발전배경에는 높은 수준의 수학적 바탕을 기본으로 하고 있다.
흔히 수학을 공학(工學, engineering)이나 자연과학탐구의 꽃이라고 부르는데, 주어진 문제들을 추상화(abstraction)시켜 복잡한 문제를 정확하고 효율적으로 해결할 수 있는 방법론이기 때문이다. 이러한 수학의 영역에는 대수학(代數學, algebra), 기하학(幾何學, geometry), 미분학(微分學, differential calculus), 적분학(積分學, integral calculus), 위상수학(位相數學, topology), 복소수론, 해석학(解析學, analysis) 등이 있으며, 그 중 공학 분야에는 선형대수, 이산수학, 미적분학(微積分學, calculus), 공업수학 등이 기초와 응용에 있어 매우 중요한 역할을 담당하고 있다.
1) 일반적으로 대수학 중에서 추상대수는 다양한 연산에 관한 추상적 개념에 초점을 맞추고 있으나 선형대수(linear algebra)는 덧셈과 곱셈의 연산 후에 나타나는 변화와 구조에 더 많은 초점을 두고 있다. 선형대수는 행렬이론이나 벡터공간이론 등을 활용해 선형방정식의 해를 구하는 것을 핵심적으로 하고 있다. 즉, 행렬은 주어진 선형시스템 내에서 현상을 보다 효과적으로 표현 가능하도록 해주며, 벡터(vector)는 제한된 공간 안에서의 선형사상을 표현하는데 유용하게 사용된다. 여기에서 선형(線型)이란 자연과 사회에서 나타나는 현상들을 선형사상(linear map)으로 표현하고 이해하고자 하는 하나의 패러다임이다.
〈표1〉 선형2)
선형(線型, linear)이란 집합 A의 원소들에 대하여 선형결합의 형태로 나타낼 수 있는 것을 말한다. 즉, 집합 A의 원소 x1, x2, ···, xn에 각각 상수 a1, a2, ···, an을 곱하여 더한 a1x1 + a2x2 + ··· + anxn이 집합 A에 속하는 경우를 말한다.
〈표1〉과 같은 형태의 식을 x1, x2, ···, xn의 선형결합(linear combination) 또는 1차 결합이라고 부르며, 이러한 선형의 개념을 그래프로 표현하면 다음과 같다.

〈그림1〉 선형의 개념
2. 선형대수학의 필요성과 비선형과의 차이점
1) 선형대수학의 필요성
선형대수학(線型代數學, linear algebra)은 선형방정식을 푸는 수학적 도구로써 기하학의 문제를 보다 효과적으로 해결하기 위한 방법론으로부터 시작되었다.3) 이러한 선형대수학은 공학이나 자연과학(自然科學, natural science)뿐만 아니라 사회과학(社會科學, social science) 등에서도 폭넓게 활용되고 있다. 특히 전기, 전자회로 등이나 통신 및 네트워크산업, 동역학(動力學, dynamics) 등 다양한 공학 분야에서 빈번하게 활용되는 매우 중요한 학문이다. 뿐만 아니라 선형계획법, 컴퓨터그래픽, 기상예보, 인구의 이동, 상대성이론, 고고학(考古學, archaeology), 물리학(物理學, physics), 화학(化學, chemistry), 경제학(經濟學, economics), 게임이론, 항공산업 등 수많은 산업 분야에서 폭넓게 활용되며, 이러한 활용성은 현대산업발전에 매우 중대한 역할을 하였다.
선형대수학이 필요한 이유는 자연이나 사회현상들을 해석하는데 있어 선형대수학을 활용하면 더욱 쉽게 접근할 수 있는 장점이 있기 때문이다. 물리학, 생물학(生物學, biology), 경제학, 심리학(心理學, psychology), 사회과학 등 모든 분야에서 활용되기 때문이다. 따라서 선형대수학은 다양한 응용 분야에서 공부하는 학생들에게 필수적인 학문이다.

〈그림2〉 수학에서의 선형대수학
2) 선형대수학과 비선형대수학의 차이
선형대수학은 수학이라는 영역에서 빼놓을 수 없을 정도로 매우 중요한 기초학문으로 순수수학이나 공학, 컴퓨터 관련 학문, 정보통신학(情報通信學, information communication study), 자연과학, 물리학, 화학, 경영학(經營學, business administration), 사회과학 등의 학문에서 특히 중요하다. 반면에 비선형대수는 훨씬 복잡한 현상을 다루며, 카오스 등의 자연현상으로 행렬로 표현이 불가능한 특성을 가지고 있다. 이와 같은 선형대수학과 비선형대수학의 차이를 정리하면 다음과 같다.
〈표2〉 선형과 비선형의 특징 및 차이점4)
선형(linear)
|
비선형(nonlinear)
|
1차식이나 1차 함수
|
1차식이 아닌 2차 이상의 함수(x2)나 cos(x) 등의 함수
|
하나의 원인에는 하나의 결과가 있음
|
훨씬 복잡함
|
그래프가 직선
|
그래프가 곡선
|
속도와 거리의 관계
|
카오스 등의 자연 현상
|
행렬로 표현 가능
|
행렬로 표현 불가능
|
회전변환,
원점을 지나는 직선에 대한 대칭변환,
어떤 벡터공간에 대한 수직입사 등
|
피드백(feedback)과 같은 복잡한 변환
|

〈그림3〉 카오스

〈그림4〉 프랙탈
3. 선형대수학의 주요 연구영역
선형대수학에서 주로 학습하고 있는 내용은 선형방정식의 이론과 해법, 행렬과 행렬식, 유클리드 공간의 스칼라 및 벡터에 관한 성질들, 벡터공간의 개념과 활용, 내적과 외적, 고유값과 고유벡터, 선형변환과 응용 등을 다루고 있다.5)
1) 선형방정식과 선형시스템
선형대수학을 활용하여 선형대수의 해를 구하는 것은 과학이나 산업현장에서 다양한 선형적 현상들을 만나게 되기 때문이다. 따라서 이러한 문제들을 해결하기 위하여 현상을 선형방정식으로 표현하고, 해(解)를 풀어서 문제를 해결하는 것이다. 자연이나 사회현상에서 모든 문제를 선형방정식의 문제로 표현할 수는 없으나 매우 복잡하고 어려운 문제들일지라도 선형방정식의 문제로 축약시킬 수 있는 경우가 많기 때문에 선형방정식이 중요하게 다루어지는 것이다.
선형방정식은 변수들의 곱이나 제곱근 형태를 취하지 않는다. 모든 변수는 1차항까지만 포함하며, 2차 함수나 3차 함수, 코사인(cos(x))과 같은 삼각함수, 로그함수 또는 지수함수 등을 포함하는 식은 선형방정식이 될 수 없다.6)

선형방정식과 선형시스템은 다음과 같다. 선형방정식과 관련된 정의는 다음과 같다. a1x1+a2x2+ ··· +anxn = b와 같은 방정식을 변수(unknown variable 또는 미지수) x1, x2, ···, xn과 계수(coefficient) a1, a2, ···, an에 관한 선형방정식(linear equation)이라고 한다. 또한 이러한 등식을 성립시키는 변수 x1, x2, ···, xn의 값들을 해(solution)라고 한다.
예를 들어, 6x1-3x2+4x3=-13이란 선형방정식에서 x1=2, x2=3, x3=-4를 각각 대입하면 6(2)-3(3)+4(-4)=-13 이므로 x1=2, x2=3, x3=-4가 주어진 방정식의 해가 된다.
변수 x1, x2, ···, xn에 관한 유한개의 선형방정식의 집합을 선형시스템(linear system)이라고 한다. x1=s1, x2=s2, ···, xn=sn이 선형시스템 내의 모든 방정식의 해일 때 수열 s1, s2, ···, sn을 선형시스템의 해(solution)라고 하며, 선형시스템의 모든 해의 집합을 해집합(solution set)이라고 한다.8)
2) 행렬과 행렬식
현실세계에서 선형방정식의 수가 너무 많으면 쉽게 해를 구하기가 어려운 경우가 많다. 이러한 경우에는 실제 해가 존재하는지조차도 자신 있게 말하기 어려운 경우가 많다. 이러한 문제를 보다 쉽고, 효과적으로 해결하기 위한 방법으로 제시된 것이 행렬이론이다. 행렬(行列, matrix)은 선형방정식을 간단하게 표현할 뿐만 아니라 보다 쉽게 연산할 수 있도록 해주는 장점이 있다. 이러한 행렬은 그 응용 분야가 매우 넓어 수학이나 물리학, 양자역학, 공학 등에서 널리 사용된다.
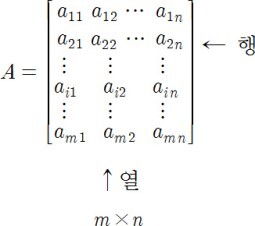
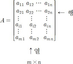
행렬은 수 또는 문자를 배열의 형태로 나타내는 것을 말하며, 그 어원은 라틴어 Mater(어머니) + ~ix의 합성어로 모체(母體)를 의미한다. m, n을 양의 정수(整數)라고 할 때 실수(實數)들로 이루어진 다음과 같은 배열을 행렬이라고 한다.9)
행렬(matrix)10)

행렬식(行列式, determinant)이란 정방행렬 A에서 하나의 스칼라값을 대응시키는 함수로써 보통 Det(A) 또는 |A|로 표시한다. n차 정방행렬의 행렬식을 n차 행렬식이라고도 부른다. 즉, A를 n×n 행렬이라고 할 때 행렬 A에 대하여 A의 행렬식이라는 수가 대응된다. 기호로는 행렬 A의 괄호 대신 수직 막대선을 그어서 나타낸다.11)
행렬식12)

3) 벡터와 벡터공간
우리는 일상생활을 살아가면서 다양한 형태의 현상들과 이를 측정하는 값들을 접하게 된다. 속도라든가 압력, 물체의 질량이나 무게, 크기, 물의 비열, 원의 지름 등 수많은 측정값들과 만나게 된다. 이러한 현상들을 측정한 물리적 양(quantity)은 주어진 양의 크기(magnitude)인 실수(實數)로 표시할 수 있는데, 이 때의 실수의 값을 스칼라라고 한다. 통상 r, s, t 등과 같이 소문자 이탤릭체로 표현한다. 반면에 단 하나의 수만으로는 나타낼 수 없는 또 다른 물리적 및 기하학적 양도 있는데 속도(velocity), 힘(force) 그리고 가속도(acceleration) 등은 그들의 크기뿐만 아니라 방향까지도 포함한다. 이러한 것들을 벡터(vector)라고 부르며, 통상적으로 u, v, w 등과 같이 굵은 글씨체의 소문자로 나타낸다.13) 다시 말하면, 스칼라는 크기를 나타내며 벡터는 크기와 방향을 나타내는 것이다.

〈그림5〉 힘의 방향을 나타내는 벡터들
우리가 흔히 알고 있는 평면에서의 점은 좌표계로 표시할 수 있다. 예를 들어, 〈그림6〉과 같이 평면내의 모든 점들은 직교좌표계(rectangular coordinate system)를 사용하여 표현될 수 있다. 점 A는 원점(0, 0)으로부터 어떤 방향으로 어떤 거리를 가지고 있다. 거리와 방향은 O에서 A까지의 선분의 길이와 방향으로 표시될 수 있다. 이와 같은 형태를 위치벡터(position vector)라고 부르고 로 나타낸다. O는 의 시점, A는 종점이라고 부른다. 여기에서 평면 위의 좌표점(5, 3)은 평면에서의 점의 위치를 나타냄과 동시에 위치벡터 를 정해주는 좌표점이기도 하다.14)

〈그림6〉 위치벡터
여기에서 위치벡터에 대하여 좀 더 살펴보기 위해 다음과 같은 좌표점들을 생각해 볼 수 있다. 즉, 〈그림7〉과 같이 =(4, 1)이고 =(-5, -2), =(-3, 4)의 위치벡터를 갖는 평면을 생각해 보자.15)

〈그림7〉 다양한 유형의 위치벡터
상기의 〈그림7〉과 같이 모든 실수(實數)들의 순서쌍의 집합을 R2으로 표기하며, 이때 R은 실수를 의미하고 2는 원소의 개수를 의미한다. 읽을 때는 ‘r-two’라고 읽는다.
여기에서 ‘순서’는 매우 중요한데 점(5, 3)과 점(3, 5)는 다르다는 것을 인식해야 한다.
R2의 개념을 R3의 개념으로 확장해보자. R3는 세 원소의 순서쌍들의 집합을 의미하는 것으로 (2, 4, 3) 등과 같은 형태의 순서쌍의 집합을 의미한다. (2, 4, 3)의 경우에는 3-공간에서 xyz의 좌표점의 위치로 해석할 수도 있고, 위치벡터로 인식할 수도 있다. 이러한 특성을 그림으로 나타내면 다음의 〈그림8〉과 같다.16)

〈그림8〉 좌표점과 위치벡터
이러한 개념을 일반화 하면 다음과 같이 벡터공간 Rn을 정의할 수 있다. 예를 들어 (u1, u2, ···, un)을 n개의 실수 열이라 했을 때 모든 수열의 집합을 n-공간이라고 부르고 Rn으로 표기한다. 이와 같은 벡터공간 Rn은 덧셈과 스칼라 곱셈의 두 연산이 정의된, 벡터라고 불리는 원소들의 집합으로 나타날 수 있다.17)
4) 고유값과 고유벡터
벡터공간 Rn에서의 고유값과 고유벡터는 행렬과 연관된 특수한 스칼라와 벡터이다. 고유벡터의 많은 용도 중에는 좌표계의 선택에 관한 것으로 수학모형은 이러한 좌표계에 의존하는 경우가 많으며, 이는 상황을 쉽게 파악하게 해주어 선호되는 계가 존재한다. 고유값과 고유벡터는 자주 이러한 특수한 좌표계를 도출해준다. 고유값과 고유벡터는 자연과학뿐만 아니라 사회과학이나 공학 등의 여러 분야에서 빈번하게 사용된다.
고유값과 고유벡터는 다음과 같이 정의할 수 있다.
A가 nxn행렬이라 하자. 다음 방정식을 만족하는 영이 아닌 Rn의 벡터 X가 존재하면 스칼라 λ를 A의 고유값(eigenvalue)이라고 부른다.
AX=λX
이때 벡터 X를 λ에 대응하는 고유벡터(eigenvector)라고 부른다.
여기에서 벡터 AX는 λ의 부호에 따라 X와 같은 방향이거나 혹은 반대방향으로 나타난다. 〈그림9〉를 보면, A의 고유벡터는 A에 곱해질 때 방향이 그대로이거나 혹은 반대가 된다.18)

〈그림9〉 A의 고유벡터와 방향
4. 주요 용어 및 관련 직업군
1) 주요 용어
• 수학의 영역과 공학 분야에서의 응용: 수학의 영역에는 대수학, 기하학, 미분학, 적분학, 위상수학, 복소수론, 해석학 등이 있으며, 그 중 공학 분야에는 선형대수, 이산수학, 미적분학, 공업수학 등이 기초와 응용에 있어 매우 중요한 역할을 담당하고 있다.
• 선형대수(linear algebra): 선형대수는 덧셈과 곱셈의 연산 후에 나타나는 변화와 구조에 더 많은 초점을 두고 있다. 선형대수는 행렬이론이나 벡터공간이론 등을 활용해 선형방정식의 해를 구하는 것을 핵심적으로 하고 있다.
• 선형대수학과 비선형대수학: 선형대수학은 수학이라는 영역에서 빼놓을 수 없을 정도로 매우 중요한 기초학문으로 순수수학이나 공학, 컴퓨터 관련 학문, 정보통신학, 자연과학, 물리학, 화학, 공학, 경영학, 사회과학 등의 학문에서 특히 중요하다. 반면에 비선형대수는 훨씬 복잡한 현상을 다루며, 카오스 등의 자연현상으로 행렬로 표현이 불가능한 특성을 가지고 있다.
• 선형방정식: 선형방정식은 변수들의 곱이나 제곱근 형태를 취하지 않는다. 모든 변수는 1차항까지만 포함하며, 2차 함수나 3차 함수, 코사인(cos(x))과 같은 삼각함수, 로그함수 또는 지수함수 등을 포함하는 식은 선형방정식이 될 수 없다.
• 행렬(matrix): 행렬은 수 또는 문자를 배열의 형태로 나타내는 것을 말하며, 그 어원은 라틴어 Mater(어머니) + ~ix 의 합성어로 모체(母體)를 의미한다. m, n을 양의 정수(整數)라고 할 때 실수(實數)들로 이루어진 m×n과 같은 배열을 말한다.
• 벡터공간: 예를 들어 (u1, u2, ···, un)을 n개의 실수 열이라 했을 때 모든 수열의 집합을 n-공간이라고 부르고 Rn으로 표기한다. 이와 같은 벡터공간 Rn은 덧셈과 스칼라 곱셈의 두 연산이 정의된, 벡터라고 불리는 원소들의 집합으로 나타날 수 있다.
• 고유값과 고유벡터: n×n행렬에서 AX=λX를 만족하는 영(零)이 아닌 벡터 X가 존재하면 스칼라 λ를 A의 고유값(eigenvalue)라고 부르며, X를 λ에 대응하는 고유벡터(eigenvector)라고 부른다.
2) 관련 직업군
• 통계학 및 수학 관련 교사
• 통계컨설턴트
• 리서치 전문가
• 통계청 등 국가 및 지방자치단체의 통계관련 공무원 등
(학문명백과 : 자연과학, 최천규)
inner product 내적 內積
스칼라곱(scalar product)이라고도 한다. 영(零)벡터가 아닌 두 벡터 x, y의 크기 x, y와 x, y가 이루는 각 θ의 cos과의 곱 xycos θ를 x, y의 내적이라 하고, x ·y 또는 (x,y)로 나타낸다. 즉,
x ·y=(x,y)=xycos θ
x=0 또는 y=0일 때는 x ·y=0이라 정한다.
기하학적으로는 xcos θ와 y를 곱한 값이 된다. 내적의 성질로는 ① 교환법칙 x ·y= y ·x, ② 1개의 스칼라 α에 대하여 결합법칙 (αx) ·y=α(x ·y), ③ 배분법칙 x·(y+z)=x·y+x·z, ④ 벡터의 수직조건, x와 y가 수직이면 x ·y=0이 성립한다. 또, x ·x= x2이다.
(두산백과 두피디아, 두산백과)
벡터의 곱에는 내적과 외적의 두 가지가 있다. 예를 들어

와

를 곱할 때

와 같이 나타내면 이것을 벡터의 내적을 의미한다. 두 벡터가 이루는 각을 θ라고 할 때

는 스칼라량이 되며 그 크기는 ABcosθ가 된다. 즉,

이다. 어떤 물체에 F의 힘을 주었을 때 물체가 힘의 방향과 θ의 각을 이루는 방향으로 s만큼 움직였을 때 한 일은 W=Fscosθ이다. 이것을 벡터의 내적을 이용하면

로 간단히 나타낼 수 있다.
(Basic 고교생을 위한 물리 용어사전, 2002. 4. 15., 신근섭)
벡터공간 V에서 임의의 두 벡터 a, b에 대해 하나의 스칼라량을 대응시키는 연산. 스칼라곱 이라고도 한다.
a의 크기를 a, b의 크기를 b로 나타내고 이것에 a와 b가 이루는 각

의 코사인을 곱한 ab

를 두 벡터 a와 b의 내적이라 하고, a·b 또는 (a, b)라고 표시한다.
이때 a의 성분을 (

)라 하고 b의 성분을 (

)라 하면 내적은 a·b=

이다.
이 내적은 추상적인 벡터 공간까지 확장할 수 있다.
(사이언스올 과학사전)
복소수, 벡터, 선형대수학
16세기 이래로 수학자들은 벡터(vector)의 개념을 사용하여 왔다. 흔히 유향선분(有向線分)으로 표시되는 벡터는 크기와 방향을 가진다. 이 같은 벡터는 운동에 있어서의 힘, 속도, 가속도와 같은 것을 나타내는 데 쓰였다.
16세기에 a + bi 꼴의 복소수가 도입되었을 때, 수학자들 스스로도 이를 신비스럽게 생각하였으나, 1800년경에 복소수평면을 생각해 냄으로써 복소수를 평면에서의 유향선분으로 표현할 수 있음을 인식했다. 이리하여, 복소수의 대수적 연산은 평면벡터의 기하학적 의미로 해석되었는데, 예를 들면 복소수의 합을 벡터의 평행사변형의 법칙으로 파악할 수 있는 것과 같은 것은 1830년까지는 잘 알려지게 되었다.

복소수, 벡터, 선형대수학
한편으로는, 예를 들어, 한 물체에 여러 힘을 가하는 경우에 이 힘들은 일반적으로는 한 평면 위에 있지는 않다. 따라서 실수를 1차원의 수, 복소수를 2차원의 수라 부를 때, 사칙이 가능한 1, 2차원의 수와 같은 성질을 가지는 3차원 이상의 수를 만들 수 없을까 생각하게 된 것이다. 그렇게 해서 얻어진 것이 4원수와 선형대수학의 발견이다.
일차방정식의 해법에서 비롯되는 방정식의 이론은, 한 미지수에 관한 고차방정식의 이론과 여러 미지수에 관한 연립 일차방정식의 이론으로 발전되었다. 앞의 것에 관하여는 이미 설명한 바 있으며, 뒤의 것이 선형대수학의 출발점이 되었다.
17세기가 되어 옛부터의 기하학과 대수학을 결합시킨 해석기하학이 나타나면서, 직선이나 평면을 일차방정식으로 표현한 것이 “선형”성을 인식한 시초이다. 18세기가 되면서 행렬식이 도입되어 19세기 전반까지 선형대수학의 주된 연구 대상이 되었다. 19세기 후반이 되면서 벡터, 벡터공간, 행렬 등의 개념이 확립되어 비로소 선형대수학의 기초가 다져졌다.
(수학의 세계, 2006. 9. 10., 박세희)
https://terms.naver.com/entry.naver?docId=1103039&cid=40942&categoryId=32206
복소수
실수와 허수의 합으로 이루어지는 수. 실수체 R에 허수단위 i(i2=-1이 되는 수의 하나)를 첨가함으로써 이루어지는 체(體)의 원소이다. 따라서 임의의 복소수는 2개의 실수 a, b를 사용한 a+bi인
terms.naver.com